武漢植物園在挖掘倍半萜生物合成基因研究中取得新進展
倍半萜內酯是菊科植物的特征性成分,也是其主要的藥用成分,具有較強的抗腫瘤活性,且在抵抗微生物病菌、防治血吸蟲和抗過敏活性方面具有較好的醫用價值。近年來已然成為國內外研究的重點,而對倍半萜內酯的生物合成機制研究甚少,因而研究倍半萜內酯的生物合成途徑和挖掘合成途徑中的關鍵基因具有很重要的意義。
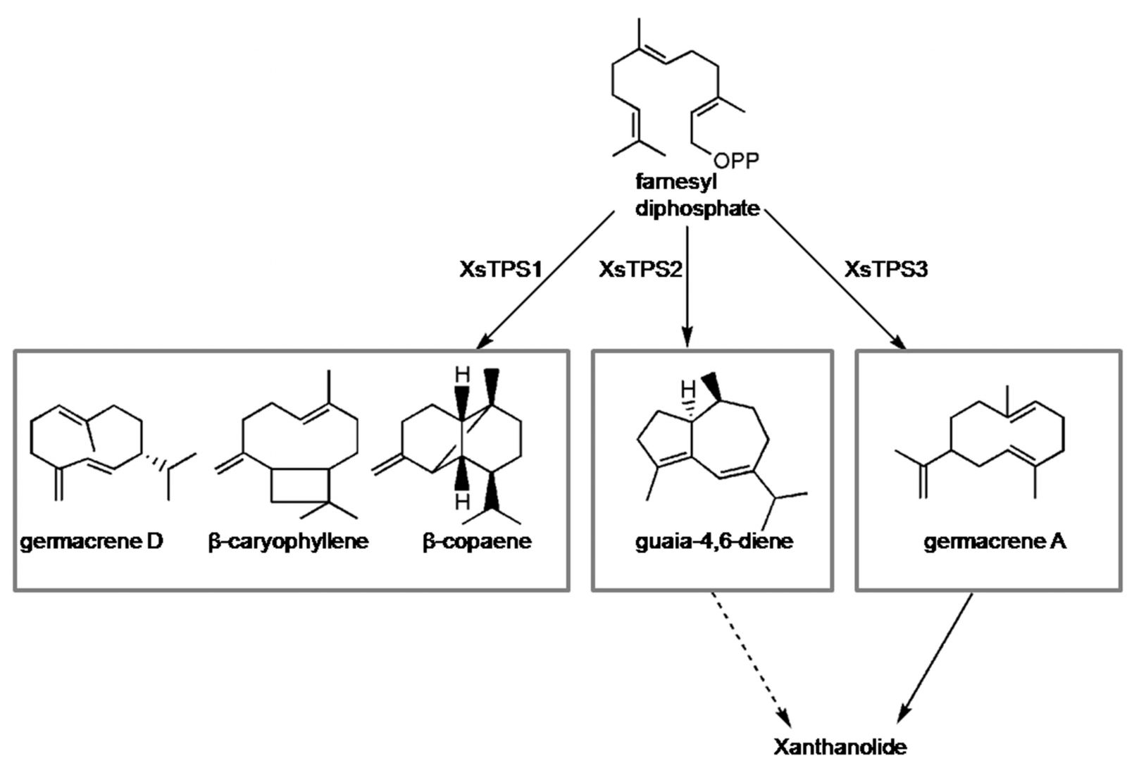
中國科學院武漢植物園天然藥物生物合成學科組博士研究生李緣君在研究員章焰生的指導下,以湖北武漢和貴州遵義的蒼耳為研究材料,分別建立了不同化學型蒼耳葉片及蒼耳腺毛(蒼耳中倍半萜內酯合成和貯存的器官為表面的球狀腺毛)的轉錄組數據庫,通過比較轉錄組學研究,篩選并克隆了3條倍半萜合成途徑上的倍半萜合酶基因(XsTPS1-3),并進行了功能分析。研究結果顯示XsTPS1主要催化合成germacrene D,XsTPS2催化生成guaia-4,6-diene,XsTPS3生成germacrene A;而且蒼耳中的XsTPS3的基因表達特性與其倍半萜內酯積累特性高度相關,可證明其參與了蒼耳中倍半萜內酯的生物合成。該研究對倍半萜合酶基因的挖掘為解析倍半萜物質的生物合成路徑提供了分子證據,也為運用合成生物學技術規模化合成特異倍半萜提供了必要的基因元件。此外,在章焰生帶領下,武漢植物園天然藥物組與加拿大卡爾加里大學建立了合作關系,雙方就倍半萜內酯合成下游關鍵酶基因挖掘的后續研究展開了合作,有望在不久的將來揭開倍半萜藥物合成的神秘面紗。
該研究獲得國家自然科學基金(NSFC Accession NO:31271341; 31370339)的資助,研究結果以Identification and functional characterization of sesquiterpene synthase from Xanthium strumarium 為題發表于Plant and cell physiology。

編輯:guoai
相關閱讀
洪湖和洞庭湖微塑料污染監測研究進展
微塑料是指直徑小于5毫米的塑料微粒,廣泛存在于水環境中。由于形體微小,微塑料很容易被水生生物吞食,從而對生物造成機械損傷,生理病變,甚至死亡。水環境中微塑料的存在狀況及其帶來的環境風險已日益引起人們的關注。【詳細】
武漢植物園花展持續到4月上旬
武漢植物園內花展自大年初三開始將持續到4月上旬。展出的花卉有蘭花、梅花、桃花、郁金香等。【詳細】
南非帝王花為武漢植物園增添濃郁非洲風情
9月28日,武漢植物園非洲風情節開幕,作為非洲風情節的重頭戲,南非帝王花展為植物園增添了一股濃郁的非洲風情,吸引眾多游客前來賞花。【詳細】